- Что такое Google PR
- История PageRank. Как идея двух студентов изменила интернет
- Как работал PageRank. Детальный разбор механики
- Эволюция и «смерть» публичного PageRank
- Актуальность PageRank в 2025 году: что пришло на смену?
- Практические выводы для SEO или на что ориентироваться сегодня
- FAQ по Page Rank
- Коротко о главном
Я решил написать для вас полезную статью про старый-добрый PageRank. Молодые SEO-специалисты о нем, может-быть, даже и не слышали. Но опытные помнят те времена, когда мы все дружно молились на заветную зеленую полосочку в тулбаре Google.
И почему-то многие считают, что PR давно почил с миром где-то в 2016-м. Ну, отчасти так и есть: тулбарный показатель действительно мертв. Но вот сама идея, его фундамент не просто жива, а до сих пор лежит в основе алгоритмов Google. И если вы хотите делать успешное SEO в 2025 году, понимать эти принципы просто необходимо. Разберемся, что к чему.
Что такое Google PR
PageRank сайта (сокращенно PR) — это алгоритм Google, измеряющий авторитетность страницы по количеству и качеству ссылок на нее ведущих. PageRank был создан Google для оценки важности веб-страниц. Работает он упрощенно так: алгоритм присваивает каждой странице числовой показатель (от 0 до 10) — на основе количества и качества ссылок, ведущих на нее.
Хотя сам счетчик PageRank и был убран из браузеров Google в 2014 году, принцип оценки важности страниц по ссылочному весу по-прежнему является одним из факторов ранжирования и учитывается поисковыми системами.
История PageRank. Как идея двух студентов изменила интернет
Отмотаем пленку в конец 90-х, когда интернет был похож на Дикий Запад, и поисковые системы были довольно примитивными. Чтобы попасть в топ, достаточно было просто добавить на страницу побольше ключевых слов: иногда даже белым цветом на белом фоне. Результаты поиска были, мягко говоря, не очень.
И вот в стенах Стэнфордского университета два аспиранта, Ларри Пейдж и Сергей Брин, работали над своим исследовательским проектом. Их осенила гениальная мысль: а что, если ранжировать страницы не по тому, что они сами о себе говорят (ключевые слова), а по тому, что о них говорят другие?
Они решили применить к вебу модель, похожую на цитируемость в научных кругах: чем больше авторитетных работ ссылается на вашу статью, тем она, вероятно, важнее. Так и родилась концепция PageRank — алгоритма, который оценивал «важность» страницы по количеству и качеству ссылающихся на нее ссылок. Эта идея легла в основу их поисковой системы Google и, без преувеличения, изменила весь интернет.
Как работал PageRank. Детальный разбор механики
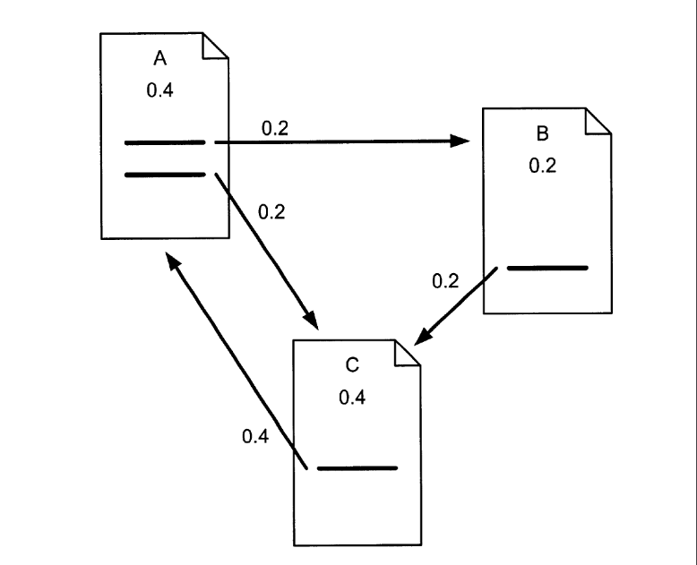
Если по-простому, каждая ссылка с одной страницы на другую передавала частичку своего «веса» или «авторитета». В тусовке это быстро прозвали «ссылочным соком» (Link Juice).
Представьте, что у авторитетного сайта есть ведро такого сока. Если он ставит ссылку на вас, он как бы отливает вам немного из своего ведерка. Чем больше у него самого сока, тем больше достанется и вам.
Если же копнуть чуть глубже, формула выглядела примерно так:
|
PR(A) = (1-d) + d * (PR(T1)/C(T1) + ... + PR(Tn)/C(Tn)) |
Если расшифровать, получим:
- PR(A) — PageRank страницы «А», которую мы хотим посчитать.
- d — «коэффициент затухания». Вероятность того, что пользователь, блуждая по сайтам, не устанет и продолжит переходить по ссылкам. Обычно его брали равным 0,85, т.е. предполагалось, что в 15 % случаев пользователю все надоест, и он начнет новую сессию.
- PR(T1)...PR(Tn) — PageRank страниц, которые ссылаются на нашу страницу «А».
- C(T1)...C(Tn) — общее количество исходящих ссылок на этих страницах-донорах.
То есть вес, который передавала страница, делился поровну между всеми ссылками, которые с нее вели. И если на вас ссылалась авторитетная страница с PR=10, на которой была всего одна исходящая ссылка (ваша), вы получали максимум «сока». А если на той же странице было 100 ссылок, ваш «глоток» был уже в 100 раз меньше. Все просто и логично.
Важно было не просто получить ссылку, а получить ее с авторитетного ресурса, который не разбрасывался ссылками направо и налево.
Упрощая представить работу алгоритма можно так:
Эволюция и «смерть» публичного PageRank
Конечно, SEO-специалисты быстро просекли фишку и начали манипулировать этой системой: создавали сети сайтов (может быть слышали аббревиатуру PBN), закупали ссылки тоннами, спамили в комментариях, спамили в каталогах. Google это терпел недолго и начал закручивать гайки.
- 2005 год. Появляется атрибут rel="nofollow". Это была первая попытка дать вебмастерам инструмент, чтобы сказать поисковой системе: «Эй, я ссылаюсь на этот сайт, но не хочу передавать ему свой вес». Изначально его придумали для борьбы со спамом в комментариях.
- 2012 год. Грянул гром среди ясного неба — алгоритм Penguin. Он был нацелен именно на борьбу с неестественными ссылками. Сайты, которые годами строили свое благополучие на ссылочных биржах, улетели из топа за одну ночь. Это был первый серьезный звоночек, что количество перестает быть важнее качества.
- 2013 год. Google в последний раз обновил данные о PageRank в своем тулбаре. Та самая зеленая полоска застыла навсегда.
- 2016 год. Google официально заявляет, что убирает показатель PageRank из Google Toolbar: для широкой публики PR перестал существовать. Началась эпоха «ссылки больше не работают». Но это было не совсем так.
- 2017 год. На одной из конференций сотрудник Google Гэри Илш подтвердил то, о чем догадывались многие практики: «Да, мы все еще используем PageRank. И он является частью системы ранжирования». Это означало, что PR никуда не делся, он просто перестал быть публичной «пузомеркой» и остался внутренним, гораздо более сложным механизмом.
- 2018 — 2025 годы. В этот период Google выкатил целую плеяду алгоритмов, основанных на искусственном интеллекте и нейросетях — BERT, MUM, а теперь и Gemini. Эти технологии научились понимать не просто факт наличия ссылки, а ее контекст. Ссылка из середины абзаца, где тема текста полностью совпадает с темой вашего сайта, стала цениться на порядки выше, чем ссылка из подвала сайта с названием «Наши партнеры». Алгоритм начал понимать семантику.
Актуальность PageRank в 2025 году: что пришло на смену?
Так что же, PR жив или мертв? Ответ: жив, но сильно мутировал. Сегодня важен не тот старый «тулбарный» PR, а его фундаментальные принципы, которые эволюционировали, обросли новыми факторами.
Качество ссылок > Количество. Этот тренд, начатый «Пингвином», сегодня достиг своего апогея. Одна ссылка с авторитетного отраслевого портала, встроенная в тематическую статью, может дать больше, чем сотня ссылок с мусорных каталогов. Google научился блестяще оценивать авторитетность и релевантность донора.
Принципы PR теперь активно применяются и внутри вашего собственного сайта. Грамотная внутренняя перелинковка позволяет «перераспределять» вес по сайту, как бы направляя «ссылочный сок» на самые важные для вас страницы (пример — коммерческие или те, по которым вы хотите быть в топе). Создание тематических кластеров, где страницы одной темы ссылаются друг на друга, — это прямое использование идей PageRank для усиления релевантности.
Как я уже говорил, алгоритмы по типу Gemini анализируют контекст вокруг анкора и ссылки. Они понимают, что ссылка из статьи про «ремонт квартир» на сайт строительной бригады — это естественно, полезно. А ссылка с той же статьи на сайт онлайн-казино — это, скорее всего, спам. Контекст стал королем.
Практические выводы для SEO или на что ориентироваться сегодня
Хорошо, теория — это прекрасно. Но что вам, читателю, делать со всей этой информацией?
- Не гоняйтесь за «пузомерками». Забудьте про попытки «измерить» PageRank. Есть другие показатели: DA (Domain Authority) от Moz, DR (Domain Rating) от Ahrefs — всего лишь метрики от сторонних сервисов. Они пытаются симулировать логику Google, но это не более чем их собственная оценка. Они могут быть полезны для быстрой оценки донора, но это не истина в последней инстанции.
- Фокусируйтесь на качественном линкбилдинге. Ваша цель — не купить 100 ссылок подешевле. Ваша цель — добыть 1-2 ссылки с реально авторитетных тематических ресурсов. Публикуйте гостевые посты, договаривайтесь с блогерами, создавайте вирусный контент, на который будут ссылаться сами. Это сложно, долго, дорого, но только это работает вдолгую.
- Прокачивайте внутреннюю перелинковку. Пройдитесь по своему сайту. Убедитесь, что важные страницы получают достаточно внутренних ссылок с релевантных по смыслу страниц. Используйте хлебные крошки, блоки «похожие статьи», контекстные ссылки в текстах. Помогите поисковой системе понять структуру вашего сайта, иерархию страниц.
- Работайте над E-E-A-T. Показывайте, что вы эксперт в своей теме, публикуйте качественные материалы, указывайте крутых, цитируемых авторов, получайте упоминания в СМИ. Чем авторитетнее ваш сайт в глазах Google, тем выше он будет ранжироваться.
FAQ по Page Rank
Здесь у нас три важных вопроса про PR сайта. Обязательно прочитайте, чтобы лучше понимать, как работает алгоритм сегодня.
Влияет ли PageRank на скорость индексации новых страниц сайта?
Да, но это не так очевидно, как кажется. Если у вашего сайта высокий авторитет (хороший «вес» по принципам PageRank), Googlebot заходит к вам чаще и быстрее подхватывает новые страницы. Этот момент связан с тем, что поисковая система выделяет больше «краулингового бюджета» на сайты, которые считает важными.
То есть, если у вас есть ссылки с крутых ресурсов, это не только поднимает вас в выдаче, но и помогает новым материалам быстрее попадать в индекс. Так что, работая над ссылочным профилем, вы косвенно ускоряете индексацию.
Может ли PageRank «утекать» через ссылки на сторонние сайты и стоит ли закрывать их через nofollow?
Это старый миф, который до сих пор бродит по SEO-форумам, но давайте разберемся. Раньше считалось, что каждая исходящая ссылка с вашей страницы «сливает» часть вашего PageRank на другой сайт, и вы как бы теряете свой вес.
На деле Google уже давно не работает так примитивно. Ссылки на полезные и релевантные ресурсы (например, на «Википедию» или авторитетный источник в вашей теме) быстрее показывают Google, что вы даете ценность пользователю, и это может даже укрепить ваш авторитет. Закрывать все подряд через rel="nofollow" не нужно! Используйте этот атрибут только для ссылок на сомнительные сайты или если вы не хотите ассоциироваться с ресурсом (пример — спонсорские ссылки). Главное — баланс со здравым смыслом.
Играет ли роль возраст домена в формировании PageRank или это просто миф?
Возраст домена сам по себе не является прямым фактором для PageRank, но косвенно он влияет, и вот почему. Старые домены, которые существуют 10-15 лет, часто имеют более богатую историю ссылок: на них ссылаются другие сайты, они обрастают упоминаниями, и это накапливает их «вес». Google видит такую долгосрочную активность и воспринимает это как сигнал доверия. Но если у старого домена нет качественного контента и ссылок, возраст ему не поможет.
Так что не стоит покупать старый домен ради мифического «бонуса PageRank» — лучше вложите силы в создание качественного сайта с нуля, если это ваш случай.
Коротко о главном
- Google PageRank не умер, он эволюционировал.
- Сегодня PR — сложнейший механизм, учитывающий качество доноров, контекст, семантику и авторитетность всего сайта.
- Задача SEO-специалиста — не пытаться его обмануть, а играть по его правилам: создавать качественные сайты и добывать такие же качественные ссылки.

